tutorials:stdpgeneral.png
stdpgeneral.png
- Date:
- 2015/01/23 14:01
- Filename:
- stdpgeneral.png
- Format:
- PNG
- Size:
- 12KB
- Width:
- 584
- Height:
- 231
- References for:
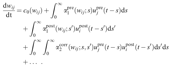
- writing_your_own_plasticity_model
This list might not be complete due to ACL restrictions and hidden pages.
